728x90
반응형
1. 지난 주 계획
- ECM Parameter 계산 완료 후 SOC Estimation 진행
- Hysteresis 특성을 반영한 Estimation 방안 연구
- 추가 참고 자료 분석 : Battery Management Systems, Volume ll : Equivalent-Circuit Methods
2. 연구 내용
1) 실험 Data 분석
- 총 100번의 방전 실험 진행 후 3개 간격으로 총 32개의 Data 추출
- (실험 데이터 공유 불가)


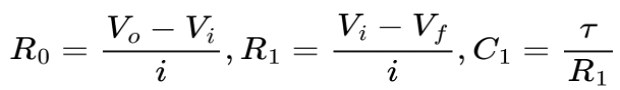
- 이후 Vo, Vi, Vf 지점 도출 후 아래 수식을 통해 ECM Parameter 값 계산
- NCM Cell과 동일한 방식
- 시정수일 때의 전압이 측정되지 않아 𝛕 = 0.03s로 가정하고 계산 진행

- 32개에 대한 계산 진행 후 평균값 계산
- 이후 단자 전압 예측 결과를 살피며 실험적 Tuning 진행

- 충/방전 Case로 분리 후 각각의 경우에 대한 ECM Parameter 값 지정
- 0.01C 충/방전 전압 응답을 OCV-SOC Look Up Table로 사용
- 두 Cell 모두 충/방전을 구분
- Cell의 Data Sheet상 전체 전압 구간에 대한 SOC가 아닌 주로 동작하게 될 Usable 범위에 대한 Look Up Table 구성
- EKF 과정에서 측정값으로 활용할 0.1C 충/방전 전압 응답 Data 정리
2) Matlab Simualtion

- NCM : SOC 100% - 5% 간의 충/방전 과정에서의 SOC 추정
- LFP : SOC 100% - 3% 간의 충/방전 과정에서의 SOC 추정

- 기존 Matlab Simulation 구조에서 초기화, 실험 Data 인가 부분을 별도 함수로 분리
- 지정한 Sampling Time으로 총 k번의 Simulation 진행
- 전체 Simulation 후 RMSE로 전류적산법과 EKF의 SOC 추정 오차율을 비교
2-1) Simulation 결과 1 : NCM



- 총 20번의 Simulation 진행 후 전류적산법과 EKF의 RMSE 비교 및 차이값 계산

- 충전의 경우 EKF와 전류적산법이 번갈아가며 더 높은 정확도를 보임
- 방전의 경우 EKF가 지속적으로 더 높은 정확도를 보임
2-2) Simulation 결과 2 : LFP



- NCM과 동일한 방식으로 RMSE 비교
- 충/방전 모두에서 전류적산법과 EKF가 번갈아가며 더 높은 정확도를 보임
3. 향후 계획
- 전체 SOC Estimation 연구 과정 정리
728x90
반응형
'Research_SOC Estimation > Record' 카테고리의 다른 글
| [SOC Estimation by EKF] 15주차 (4/1~4/5) (0) | 2024.04.08 |
|---|---|
| [SOC Estimation by EKF] 14주차 (3/25~3/29) (0) | 2024.04.01 |
| [SOC Estimation by EKF] 12주차 (3/11~3/15) (0) | 2024.03.18 |
| [SOC Estimation by EKF] 11주차 (3/4~3/8) (0) | 2024.03.13 |
| [SOC Estimation by EKF] 10주차 (2/26~2/29) (0) | 2024.03.04 |