728x90
반응형
1. 지난 주 계획
- 기존 연구 내용을 토대로 대상 Cell의 ECM, State Space Equation 구성
- Matlab, C 언어 EKF 구현 코드 예제 공부
- Matlab 기반의 SOC Estimator Simulation 진행
- 이후 기존의 전류적산법 기반 SOC Estimator와 비교
2. 연구 내용
1) 논문 분석 내용 정리



- 기존 논문 분석 내용 요약 및 상세 내용 정리
2) ECM 선정 후 OCV - SOC 실험을 통한 소자 값 취득

- 연구 내용을 토대로 Simulation을 진행할 Cell의 Equivalent Circuit Model 선정
- 기본적인 1차 RC 회로 선정
- SOC 100% ~ 30%까지 0.1C로 방전시킨 데이터를 통해 각 소자 값 추출


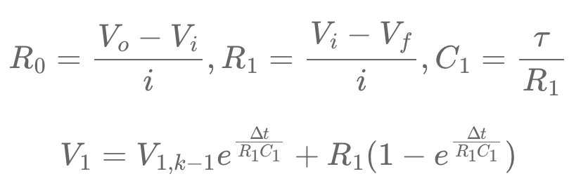
- ECM Parameter 유도 공식
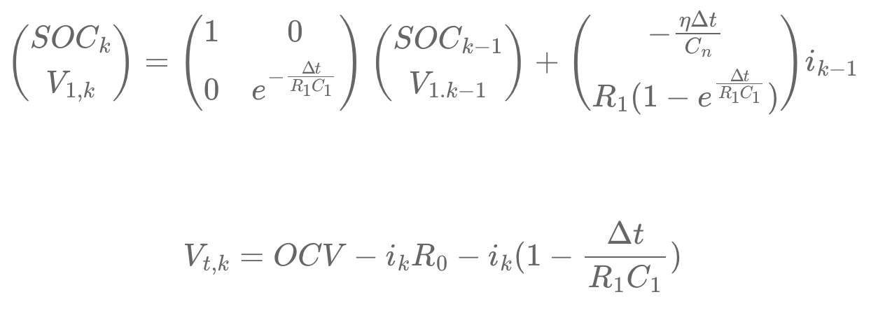
2-1) ECM의 State Space Equation 구성

- State Space Equation
3) Matlab Simulation Code 구성

- 이후 Matlab을 통한 SOC Estimator Simualation 구조 구성
- 전체적인 구성만 완료한 상태
Matlab을 통한 SOC Estimation Simulator 구현
- Equivalent Circuit Model 1차 RC 회로 실험을 통해 ECM Parameter 선정 R0 : 0.210634Ω R1 : 0.0603 Ω C1 : 4611.208F i (방전 전류) : 0.41A (0.1C) SOC 100% ~ 30%까지 0.1C로 방전시킨 데이터를 통해 추출함 $$ R_{0}=\frac{V_{o}-V_{i
youngseong.tistory.com
3. 향후 계획
- Matlab 기반 Simulator 구현 완료 후 Simulation 진행
- SOC 추정 결과가 좋지 않을 경우 ECM, State Space Equation 등을 실험적으로 변경
- 이후 전류적산법 기반 SOC 추정과의 성능 비교
728x90
반응형
'Research_SOC Estimation > Record' 카테고리의 다른 글
| [SOC Estimation by EKF] 7주차 (2/5~2/9) (0) | 2024.02.13 |
|---|---|
| [SOC Estimation by EKF] 6주차 (1/29~2/3) (0) | 2024.02.05 |
| [SOC Estimation by EKF] 4주차 (1/15~20) (0) | 2024.01.25 |
| [SOC Estimation by EKF] 3주차 (1/8~13) (0) | 2024.01.13 |
| [SOC Estimation by EKF] 2주차 (1/1~7) (2) | 2024.01.08 |